1.3.- Sistemas Escalonados
En este tipo de sistemas cada ecuación tiene una incógnita menos que el anterior.
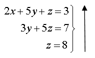
- Ejemplo:
Este sistema se resuelve de abajo a arriba, obteniendo el valor de cada incógnita y sustituyéndolo en la ecuación de arriba.
Sigue estudiando!!! continúa con el apartado 1.4.- "Método de Gauss"

