1.4.- Método de Gauss
El método de GAUSS consiste en transformar un sistema de ecuaciones lineales en otro escalonado.
Para ello, hay que «hacer ceros” sometiendo las ecuaciones a dos transformaciones elementales:
-. Multiplicar una ecuación por un numero distinto de cero
-. Sumar a una ecuación otra multiplicada por un número
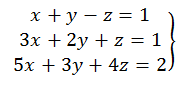
- Ejemplo:
Resolver por el método de Gauss el siguiente sistema de ecuaciones:
Para ello hay que aplicar las siguientes transformaciones elementales (F = fila),
Después de estos pasos ya tenemos el sistema anterior transformado en un sistema escalonado:
La solución es –> z=1 ; y=6 ; x=-4
Felicidades!!! Finalizaste la Teoría de Resolución de Sistemas de Ecuaciones Lineales!!! Ahora puedes divertirte jugando con los Ejercicios Tipo ;)





