Contenidos
7.3.- Distancia entre puntos, rectas y planos
7.3.1.- Distancia entre dos puntos
La distancia entre dos puntos P1(x1, y1, z1) y P2(x2, y2, z2) se calcula como:
- Ejemplo:
La distancia entre P (5, -1, 7) y Q (4, -5, 11) es:
7.3.2.- Distancia entre un punto y una recta
La distancia entre un punto P y una recta r de vector director , se puede calcular mediante la siguiente expresión:
- Ejemplo:
Calcular la distancia entre el punto P (5, -1, 7) y la recta r de la ecuación:
El vector director de r es d(-2,-1,1) y un punto de r ,haciendo λ=0 ,es R (-2,-1,1) . Por tanto:
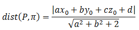
7.3.3.- Distancia de un punto a un plano
La distancia de un punto P(x0, y0, z0) a un plano π: ax+by+cz=0 puede calcularse a través de la siguiente expresión:
- Ejemplo:
Calcular la distancia del punto P (3, 1, 7) al plano π: x-3y+5z-1=0 es:
7.3.4.- Distancia entre dos rectas
La distancia entre dos rectas, r y s, se puede calcular a través de la siguiente expresión:
(donde P y Q son puntos cualquiera de r y s respectivamente)
- Ejemplo:
Calcular la distancia entre las rectas r y s:
Obtenemos los vectores directores de ambas rectas y punto cualquiera de ambas:
Calculamos el vector PQ
Por tanto:
7.3.5.- Distancia entre una recta y un plano
- Si la recta y el plano se cortan, la distancia es cero
- Si r es paralelo a π y P es un punto de π, dist (r, π) = dist (P, π)
7.3.6.- Distancia entre dos planos
- Si dos planos se cortan la distancia entre ellos es cero.
- Si π es paralelo a π’ y P es un punto de π, dist (π, π’) = dist (P, π’)
Sigue estudiando!!! continúa con el apartado 7.4.- "Medidas de áreas y volúmenes"










